尿素改性核桃壳多孔炭的制备及其对碘的去除

潘寒风, 段润斌, 李兴发, 马旭莉

【作者机构】 太原理工大学环境与生态学院; 山西浙大新材料与化工研究院
【分 类 号】 X712;TQ424
【基    金】 山西省科技合作专项项目(202204041101046) 山西浙大新材料与化工研究院科研项目(2022SX-TD013)
全文 文内图表 参考文献 出版信息

文内图表

图1 多孔炭的制备过程与碘捕获示意图
图2 WS-Urea(a、b)和WS-KOH(c、d)在不同放大倍数下的SEM 图
图3 多孔炭的N2 吸附-脱附等温线(a)和孔径分布曲线(b)
图5 WS-Urea 和WS-KOH 的XRD 谱图
图6 不同多孔炭对气态碘的捕获性能
表1 不同材料的碘捕获能力
图7 不同尿素用量制备的多孔炭对气态碘捕获性能的影响
表2 不同尿素用量多孔炭的孔结构参数
表3 不同活化温度多孔炭的孔结构参数
图8 不同活化温度多孔炭对气态碘的捕获性能
表4 不同前驱体多孔炭的孔结构参数
图9 不同前驱体制备的多孔炭对气态碘捕获性能的影响
图10 不同孔径碳纳米管对气态碘捕获性能的影响
图11 水蒸气对气态碘捕获性能的影响
图12 WS-Urea@I 在室温和环境压力下的保留性能
图13 WS-Urea 捕获碘前后的TG 曲线(a)、XRD 谱图(b)和XPS 全谱(c);WS-Urea 捕获碘后I 3d 高分辨XPS 谱图(d)和拉曼光谱(e);WS-Urea 捕获碘前后的O 1s 高分辨XPS 谱图(f)
图14 WS-Urea 捕获碘的机理示意图
图15 多孔炭对气态碘的脱附(a)和循环性能(b)
图16 不同多孔炭在环己烷中对碘的捕获
表5 准一级和准二级动力学模型的非线性拟合参数
图17 WS-Urea 的准一级和准二级动力学模型拟合线
表6 等温线模型的非线性拟合参数
图18 WS-Urea 的Langmuir 和Freundlich 等温线模型拟合线
表7 热力学参数拟合参数
图19 WS-Urea 的热力学模型拟合线
正文

尿素改性核桃壳多孔炭的制备及其对碘的去除

潘寒风1,段润斌1,李兴发1,2*,马旭莉1,2

(1. 太原理工大学 环境与生态学院,山西 晋中 030600;2. 山西浙大新材料与化工研究院,山西 太原 030000)

摘要:以农业废弃物核桃壳为碳基体,通过尿素辅助氢氧化钾活化法制备了一种高碘捕获性能的多孔炭材料(WS-Urea)。采用SEM、N2 吸附-脱附、XPS 和XRD 对其进行了表征,评价了其对气态碘的捕获性能,对气态碘捕获后的多孔炭进行了表征,分析了其对碘的捕获机理,并探究了WS-Urea 对环己烷碘溶液的吸附动力学特征和吸附等温特性。结果表明,该材料具有超大的比表面积(3395.97 cm2/g)和微孔体积(1.39 cm3/g),WS-Urea对碘6 h 的捕获量可达3161 mg/g。在m(核桃壳)∶m(KOH)∶m(尿素)=1∶1.5∶3.0、活化温度为900 ℃的条件下制备的多孔炭对碘的捕获量最大,为6248 mg/g。多孔炭中的微孔结构对碘的物理吸附起主导作用,而以羟基为主的化学吸附则起次要作用,这导致部分被捕获的碘发生了电荷转移,以聚阴离子的形式存在。质量浓度为0.4 g/L 的多孔炭对碘质量浓度为100 mg/L 的环己烷碘溶液在90 min 时的去除率达到86.62%,动力学和等温线模型拟合结果表明,吸附过程主要为物理吸附,且以单层吸附为主。热力学分析结果表明,吸附是放热且自发的过程。

关键词:尿素;多孔炭;碘捕获;微孔;羟基;功能材料

随着人类社会的不断发展,煤炭、天然气和石油等化石能源被过度开采,导致这些不可再生能源日益匮乏。同时,传统化石能源的燃烧会产生大量的污染物。为了实现可持续发展,寻找替代能源变得迫在眉睫。核能因其安全、低成本、清洁和经济等优点而受到广泛关注[1-2]。然而,在核反应的正常运行和后期处理过程中,会产生放射性碘(129I 和131I)组成的复杂混合气体[3]129I 具有极长的半衰期(1.57×107 年)、高毒性和高挥发性,对整个生态系统存在长久的风险[4]。虽然 131I 半衰期只有8 d,但它对人体代谢系统会产生严重的影响,能渗透到细胞中导致细胞突变和死亡[5-6]。因此,有效捕获和储存放射性碘具有重要的现实意义。

放射性碘捕获技术主要分为湿法洗涤和固体吸附两大类[7]。其中,固体吸附法具有成本低、稳定性强、去除效果好以及操作简单等优点,已成为一种常用的技术[8]。常用的多孔材料为活性炭[9]、载银沸石[10]、气凝胶[11]、共价有机框架(COFs)[12]、金属有机框架(MOFs)[13]、多孔有机聚合物(POPs)[14]等。其中,载银沸石不仅价格昂贵,还与碘反应生成不稳定的碘化银,这可能导致挥发和二次污染[15]。而气凝胶、COFs、MOFs 和POPs 等材料的制备较为复杂且成本较高,这在实际应用中往往受到限制[16]。活性炭具有比表面积大、吸附容量高、制备工艺简单和成本低等优点,在去除放射性碘等方面表现优异。此外,活性炭上有大量的羟基(—OH)。根据路易斯酸碱理论,羟基作为路易斯碱与碘分子(路易斯酸)具有强亲和力[17],显著提高了碘的捕获量。

对于碳基体的选择是至关重要的,它影响了最终多孔炭的孔结构。利用生物质或生物可再生资源制备多孔炭是经济且可持续的方法。核桃壳因其优良的化学稳定性、高比表面积和低灰分含量,被广泛用作碳基体[18]。在活化反应中,氢氧化钾(KOH)改性生物炭是形成多孔材料的有效方法。因为碳基体会与KOH 发生反应,碳基体被蚀刻,形成更多的孔结构。此过程炭产率高、热处理时间短和活化温度低,因此在化学活化中被广泛应用[19]。同时,使用尿素辅助生物基质可形成丰富的多孔结构。因为尿素辅助烃类中的吡啶-N 和石墨-N 等含氮基团与碳酸钾反应生成氨气,提升炭材料的多孔结构,从而增强了对污染物的去除效果[20]

基于以上背景,本文采用核桃壳为碳基体,使用尿素辅助KOH 活化法制备了多孔炭。通过对所制备多孔炭进行SEM、XRD、BET、TGA、拉曼光谱分析,并对气、液体中碘的去除性能进行测试,探讨了其吸附效果和吸附机理等,为气液态放射性碘的去除和回收提供了理论支持。

1 实验部分

1.1 试剂与仪器

氢氧化钾(KOH),AR,天津市科密欧化学试剂有限公司;环己烷,AR,上海阿拉丁生化科技股份有限公司;尿素(Urea)、单质碘(I2),AR,国药集团化学试剂有限公司;盐酸(质量分数为37%),上海沃凯生物技术有限公司;碳纳米管,江苏先丰纳米材料科技有限公司;核桃壳(WS),产地为山西吕梁;去离子水,自制。

Sigma 300 型扫描电子显微镜(SEM),德国Carl Zeiss 公司;Aeris 型X 射线衍射仪(XRD),荷兰Malvern Panalytical 公司;K-Alpha 型X 射线光电子能谱仪(XPS),美国Thermo Fisher Scientific 公司;TriStar Ⅱ 3flex 型全自动比表面及孔隙度分析仪(BET),美国Micromeritics 公司;STA449F5 Jupiter型同步热分析仪(TGA),德国 Netzsch 公司;LabRAM HR Evolution 型拉曼光谱仪,日本Horiba公司;UV-8000S 型紫外-可见分光光度计(UV-Vis),上海元析仪器有限公司。

1.2 多孔炭的制备

多孔炭材料的制备过程与碘捕获的示意图,见图1。首先,将核桃壳破碎后过筛(0.5~1.0 mm),用超纯水超声(300 W)清洗并在80 ℃下干燥12 h。然后,将 4.0 g 破碎的核桃壳分散在含有 6.0 g(0.11 mol)KOH 和8.0 g(0.13 mol)尿素的20 mL水溶液中,搅拌30 min 以获得分散均匀的悬浮液,浸渍24 h 后,在80 ℃下干燥12 h。接着,将其在通入氩气的管式炉中升温至800 ℃并退火2 h。取出后,用浓度为0.1 mol/L 的盐酸和超纯水洗涤至pH 不再变化,并在80 ℃下干燥12 h,最终得到核桃壳多孔炭,记作WS-Urea(后文未提及原料配比的均为此节制备的样品,下同)。

图1 多孔炭的制备过程与碘捕获示意图
Fig. 1 Schematic diagram of synthesis process and iodine capture of porous carbon

按照上述操作,将在无尿素条件下制得的多孔炭记作WS-KOH;按上述操作,将在无尿素和KOH条件下制得的多孔炭记作WS-C。此外,按照上述步骤,分别以硫脲、双氰胺、三聚氰胺、吡啶硼酸和硼酸代替尿素作为前驱体,按 m(核桃壳)∶m(KOH)∶m(前驱体)=1∶1.5∶3.0 投料制备了不同前驱体的多孔炭材料。

1.3 表征方法与性能测试

1.3.1 表征方法

SEM 测试:将干燥且研磨后的样品固定于样品台,喷金,用SEM 观察其表面的微观形貌。XRD测试:Kα 射线,Cu 靶辐射,λ=0.1541 nm,管电压40 kV,管电流100 mA,扫描速率5 (°)/min,扫描范围2θ=5°~60°。XPS 测试:测试元素为C、O、N和I,通过Avantage 软件对元素进行校准,以C 1s的结合能(284.8 eV)为参考。BET 测试:脱气温度200 ℃,时间8 h。TGA 测试:氮气环境,温度范围25~800 ℃,升温速率10 ℃/min。拉曼光谱测试:激发波长为532 nm。

1.3.2 气态碘捕获性能测试

如图1 所示,将过量的碘(0.04 g)和多孔炭(0.02 g)分别置于 2 个小称量瓶中(25 mm×25 mm)。后将这2 个小称量瓶放入一个大称量瓶中(70 mm×35 mm)中。将大称量瓶放置于78 ℃的恒温箱中,接近核燃料后处理的实际情况[21-23]。采用重量法[24]测定多孔炭的捕获量,每隔一段时间对样品进行称重。通过比较捕获前后多孔炭的质量,按式(1)计算多孔炭的捕获量。

式中:qtt 时多孔炭的吸附容量,mg/g;mtt时捕获碘后多孔炭的质量,g;m0 为多孔炭的初始质量,g。

1.3.3 气态碘脱附与重复利用性测试

将负载碘的多孔炭置于敞开的大称量瓶中,在恒温箱中120 ℃、环境压力下进行脱附实验,每隔一段时间称取并记录多孔炭的质量,按式(2)计算多孔碳对碘的脱附率。待脱附达到平衡后,再进行下一次捕获实验,按式(3)计算多孔碳对碘的重复利用率。

式中:η 为碘的脱附率,%;ma 为负载碘样品的初始质量,g;mb 为一段时间样品加热释放碘后的质量,g;m 为碘负载样品中的碘质量,g;ω 为样品的重复利用率,%;qn 为第n 次循环后的吸附量,mg/g;q0 为样品第1 次捕获碘的吸附量,mg/g。

1.3.4 环己烷碘溶液吸附实验

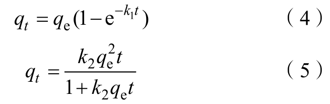
吸附动力学实验:在25 ℃下,将WS-Urea 按添加质量浓度为0.4 g/L 加入到100 mL 碘质量浓度为100 mg/L 的环己烷碘溶液中,每隔一段时间用UV-Vis 测定溶液在523 nm 处的吸光度,根据标准曲线方程A=0.0038ρ+0.0032计算出溶液中碘的质量浓度(mg/L),并使用准一级动力学模型〔式(4)〕与准二级动力学模型〔式(5)〕对数据进行拟合。

式中:qtt 时的吸附容量,mg/g;t 为时间,min;qe 为平衡吸附容量,mg/g;k1 为准一级动力学吸附速率常数,min-1k2 为准二级吸附速率常数,g/(mg·min)。

吸附等温线实验:在25 ℃下,将WS-Urea 按添加质量浓度为0.4 g/L 分别加到100 mL 不同碘质量浓度的环己烷碘溶液中,吸附平衡后用UV-Vis 测定溶液在523 nm 处的吸光度,根据标准曲线方程计算出溶液中碘的质量浓度,再使用Langmuir 模型〔式(6)〕与Freundlich 模型〔式(7)〕对数据进行拟合。

式中:ρe 为吸附达到平衡时溶液中碘的质量浓度,mg/L;qmax 为最大理论吸附量,mg/g;KL 为Langmuir模型常数,L/mg;KF 为 Freundlich 模型常数,(mg/g)(L/mg)1/nn 为线性常数。

吸附热力学实验:在25 ℃下,将WS-Urea 按添加质量浓度为0.4 g/L 加入到100 mL 碘质量浓度为100 mg/L 的环己烷碘溶液中,分别在25、35 和45 ℃的振荡培养箱中进行吸附实验。吸附平衡后,用UV-Vis 测定溶液在523 nm 处的吸光度,根据标准曲线方程计算出溶液中碘的质量浓度,再使用热力学方程〔式(8)和式(9)〕对数据拟合。

式中:ΔGθ为吉布斯自由能,kJ/mol;ΔHθ为标准焓变,kJ/mol;ΔSθ 为标准熵变,J/(mol·K);R 通用气体常数,8.314 J/(mol·K);T 为绝对温度,K;Kd 为热力学平衡常数(无量纲)。

129I 和131I 对人体具有危害性,其化学与电子性质与非放射性单质碘具有相似性[25]。因此,从安全方面考虑,用单质碘替代129I 和131I 进行实验[26-28],进行3 次平行测试,取其平均值,误差棒代表3 次实验的标准偏差。

2 结果与讨论

2.1 表面形貌分析

图2 为WS-Urea 和WS-KOH 的SEM 图。

图2 WS-Urea(a、b)和WS-KOH(c、d)在不同放大倍数下的SEM 图
Fig. 2 SEM images of WS-Urea (a, b) and WS-KOH (c, d)at different magnifications

由图2a、b 可以看出,WS-Urea 具有丰富的孔结构,且经过800 ℃热解后,孔结构仍然保持完整,表面形成的大量沟壑状结构,显著增大了其比表面积,这是作为多孔吸附剂不可或缺的优势结构。由图2c、d 可以看出,WS-KOH 孔壁出现明显的破损和断裂,孔结构出现不规则形状,这些特征都可能对材料的性能产生不利的影响。这些多孔结构的形成是因为,KOH 与碳基体在低于700 ℃时产生碳酸钾(K2CO3[29]。在此过程中,碳材料被蚀刻可获得更高的比表面积。另外,尿素与吡啶-N 的杂环基团会在高温下与K2CO3 进一步发生反应产生氨气(NH3),再次对孔结构进行改善[30-31]。对多孔炭表面的元素分布进行测试后发现,WS-Urea 中碳(C)、氧(O)和氮(N)的含量分别为95.81%、4.19%和0;WS-KOH 中的C、O 和N 含量则分别为94.49%、5.07%和0.44%,可见尿素的引入并没有使多孔炭的N 含量增加。综上所述,尿素增加的含N 基团可能在高温处理过程中被消耗,并起到了对孔结构的改善作用。

2.2 孔结构分析

孔结构是衡量多孔炭性能的重要指标。多孔炭的N2 吸附-脱附等温线和孔径分布曲线见图3。

图3 多孔炭的N2 吸附-脱附等温线(a)和孔径分布曲线(b)
Fig. 3 N2 adsorption-desorption isotherms (a) and pore size distribution curves (b) of porous carbon

由图3a 可以看出,多孔炭在相对压力(p/p0)<0.05 时对N2 的吸附量迅速上升,后趋于平缓。其中,WS-Urea 对 N2 的吸附量上升趋势明显高于WS-KOH。并且它们属于经典的Ⅰ型与Ⅳ型吸附等温线,表明两者主要是微孔结构[32],其中,WS-Urea相较于WS-KOH 具有更多的微孔结构。

从测试结果看出,在尿素辅助作用下,多孔炭的比表面积(SBET)和微孔体积(Vmicro)均显著提升,SBET从1539.16 cm2/g 提升至3395.97 cm2/g,Vmicro从0.57 cm3/g 增长到1.39 cm3/g。这表明,尿素的辅助作用导致多孔炭产生更丰富的孔结构,使多孔炭具有更高的比表面积和微孔体积。通过Saito-Foley 法对多孔炭微孔分布进行分析,由图3b 可知,WS-Urea和WS-KOH 的孔径主要分布在0.69 和0.74 nm,表明WS-Urea 存在着更多和更小的微孔结构。

2.3 化学表面组成分析

通过XPS 对WS-Urea 多孔炭表面的化学组成进行测试,结果见图4。

图4 WS-Urea 的XPS 谱图
Fig. 4 XPS spectra of WS-Urea

图4a 表明,WS-Urea 主要由C、O 和微量的N组成,含量分别为91.45%、7.87%和0.68%,这与测得的表面元素分布结果相似。从C 1s 高分辨XPS 谱图(图4b)看出,C—C/C==C(284.80 eV)含量最高,C—O—C(286.44 eV)和O—C==O(287.92 eV)含量较低[33];从O 1s 高分辨谱图(图4c)看出,结合能531.70、532.93 和534.39 eV 处峰分别归属于O—C==O、C—O/—OH 和C==O[34]。这些结果进一步验证了在高温缺氧的制备条件下,氮含量减少,WS-Urea 形成以碳骨架为主要结构的多孔材料。

2.4 物相分析

多孔炭的XRD 谱图如图5 所示。

图5 WS-Urea 和WS-KOH 的XRD 谱图
Fig. 5 XRD patterns of WS-Urea and WS-KOH

由图5 可知,WS-Urea 和WS-KOH 在2θ=23°、46°处均出现2 个宽峰,对应无定形碳材料的(002)晶面和(100)晶面衍射[35]。说明在炭化过程中,两者均具有石墨化倾向。由于衍射峰较宽,说明石墨化程度较低,可以推断,两者是交错层的非晶态炭材料[36]。WS-Urea 在低衍射角度处(插图)具有较低的衍射峰强度,表明尿素的辅助作用使碳骨架的结构发生了明显变化,导致其比WS-KOH 更具有无序性[37]。在低衍射角度,WS-Urea 相对于WS-KOH 具有更高的强度,归因于其存在更多的微孔[38],这与BET 结果相符。

2.5 多孔炭对气态碘捕获性能分析

采用图1 所示的设备进行气态碘捕获实验,结果见图6。

图6 不同多孔炭对气态碘的捕获性能
Fig. 6 Capture performance of gaseous iodine by different porous carbons

由图6 可知,在捕获初期,WS-Urea 和WS-KOH的捕获量迅速上升,并在3 h 时基本达到吸附平衡。而WS-C 的捕获速率相对较慢,这可能是由于,WSUrea 和WS-KOH 相较于WS-C 具有更丰富的孔结构,这些孔道有利于碘分子的扩散。此外,WS-Urea、WS-KOH 和WS-C 对碘的6 h 捕获量分别为3161、2143 和503 mg/g。表1 为不同材料的碘捕获能力。从表1 可以看出,WS-Urea 对碘的捕获能力要高于已报道的部分材料。表明,尿素辅助KOH 活化制备的多孔炭提高了对碘的捕获性能。

表1 不同材料的碘捕获能力
Table 1 Iodine capture capacity of different materials

注:“—”代表文献中未提及。下同。

材料 SBET/(m2/g)测定温度/℃、方法吸附量/(mg/g) 文献KOH/尿素共改性多孔炭(WS-Urea)棉纤维-共价有机骨架(CF/COF)樟脑叶衍生生物炭(Bi2O3@CLBC)氯化锌改性核桃壳活性炭(WS-ZnCl2)创新纳米多孔炭(AK-2)ZIF-8 衍生多孔炭(CZIF-1000)ZIF-8 修饰多孔木材(ZIF-8@wood)带电多孔芳族骨架(PAF-24)富氮三茂基多孔聚合物(NTP)金刚烷基微孔聚合物(NOP-55)金属-有机框架材料(MOF)富氮共轭微孔聚合物(NCMPs)吡咯硼基共轭多孔聚合物(NBDP-CPP)多孔偶氮桥卟啉-酞菁(AzoPPN)3395.97 78、静态 3161 本研究166 77、静态 824 [39]104.5 77、静态 886 [16]1360 80、静态 2374[40]2751 80、静态 2620[41]1110 75、静态 791 [42]16.89 75、静态 1090[43]136 75、静态 2760[44]1067 75、静态 1800[45]526 75、静态 1390[46]— 75、静态 2160[47]485 85、静态 1610[48]658 75、静态 1500[49]400 77、静态 2900[50]

不同尿素用量制备的多孔炭对气态碘捕获性能的影响见图7。

图7 不同尿素用量制备的多孔炭对气态碘捕获性能的影响
Fig. 7 Effect of porous carbon prepared with different urea dosages on capture performance of gaseous iodine

由图7 可知,随着尿素用量的不断增加,捕获量逐步上升。当m(核桃壳)∶m(KOH)∶m(尿素)=1∶1.5∶3.0 时,6 h 捕获量达到最大值(5068 mg/g),但当尿素用量继续增加到m(核桃壳)∶m(KOH)∶m(尿素)=1∶1.5∶4.0,捕获量反而减少。对这2 种多孔炭进行孔径分析,结果见表2。从表2 可以看出,m(核桃壳)∶m(KOH)∶m(尿素)=1∶1.5∶3.0 相比于m(核桃壳)∶m(KOH)∶m(尿素)=1∶1.5∶4.0 具有更大的SBETVmicro 和较小的平均孔径。结果表明,过量的尿素会使多孔炭产生更多的介孔和大孔,同时碘捕获性能的提高可能是由微孔导致。

表2 不同尿素用量多孔炭的孔结构参数
Table 2 Pore structure parameters of porous carbons with different urea dosages

m(核桃壳)∶m(KOH)∶m(尿素)孔结构参数 1∶1.5∶3.0 1∶1.5∶4.0 SBET/(m2/g) 2963.36 2704.92 Vmicro/(cm3/g) 1.18 1.11平均孔径/nm 4.26 4.44

由于核桃壳来源广泛且能达到“以废治废”的目的,综合考虑到经济效益,本文主要研究m(核桃壳)∶m(KOH)∶m(尿素)=1∶1.5∶3.0 制备的多孔炭的性能。

m(核桃壳)∶m(KOH)∶m(尿素)=1∶1.5∶3.0 条件下,对不同活化温度的多孔炭进行碘捕获性能测试,结果见图8。相关多孔炭的孔结构参数见表3。

表3 不同活化温度多孔炭的孔结构参数
Table 3 Pore structure parameters of porous carbon activated at different temperature

活化温度/℃SBET/(m2/g) Vmicro/(cm3/g) 平均孔径/nm 300 7.34 0.0026 16.70 400 6.64 0.0025 34.90 500 1246.92 0.49 7.11 600 1769.41 0.70 5.47 700 3360.29 1.38 4.63 800 2963.36 1.18 4.26 900 2684.77 1.07 3.39

图8 不同活化温度多孔炭对气态碘的捕获性能
Fig. 8 Effect of porous carbon prepared with different activation temperature on capture performance of gaseous iodine

由图8 可知,当活化温度为900 ℃时,多孔炭对气态碘的捕获量达到最大值,为6248 mg/g。由表3可知,随着温度的升高,平均孔径逐渐减小,说明高温活化有助于多孔炭形成更小的结构,且较小的孔径对碘的捕获性能产生促进作用。尽管活化温度为300 ℃时多孔炭的SBETVmicro 低于活化温度600 ℃时的多孔炭,但其碘捕获量较高,并且已有研究表明,高温可能对多孔炭的官能团产生不利影响[51],因此可以推断出,300 ℃时官能团对碘捕获可能起到了主导作用。当活化温度达到500 ℃时,SBET 显著增加,这可能是KOH 与碳基体开始发生反应,促进孔结构形成的原因。当活化温度达到700 ℃时,SBET 又一次大幅增加,这可能是在尿素的作用下进一步改善了孔结构。由于过高的活化温度并不利于经济效益和实际应用,因此本文主要对800 ℃的活化温度进行研究。

不同前驱体多孔炭对气态碘的捕获性能测试结果见图9。相关多孔炭的孔结构参数见表4。

表4 不同前驱体多孔炭的孔结构参数
Table 4 Pore structure parameters of porous carbon prepared from different precursors

前驱体 SBET/(m2/g) Vmicro/(cm3/g) 平均孔径/nm尿素 2963.36 1.18 4.26硫脲 1310.67 0.55 8.24双氰胺 841.10 0.35 4.54三聚氰胺 689.56 0.29 6.43吡啶硼酸 137.57 0.057 9.32硼酸 133.77 0.047 8.29

图9 不同前驱体制备的多孔炭对气态碘捕获性能的影响
Fig. 9 Effect of porous carbon prepared by different precursors on capture performance of gaseous iodine

由图9 可知,6 h 时,以尿素作为前驱体的多孔炭对碘的捕获量最大,为5068 mg/g。高温处理通常会导致多孔炭中官能团的减少,因此孔结构对捕获能力尤为重要。

从图9 和表4 可以看出,捕获量随着多孔炭SBETVmicro 的减小而逐渐降低,这进一步验证了比表面积和微孔在碘捕获中的重要性。此外,尿素作为前驱体制备的多孔炭具有更大的比表面积,这可能与尿素在热解过程中改善孔结构有关。

为了进一步证明碳材料孔径大小对碘捕获性能的影响,考察不同孔径的碳纳米管对气态碘的捕获性能,结果见图10。

图10 不同孔径碳纳米管对气态碘捕获性能的影响
Fig. 10 Effect of carbon nanotubes with different pore sizes on capture performance of gaseous iodine

由图10 可知,随着碳纳米管孔径的增大,碳纳米管对碘的捕获性能逐渐降低。其中,单壁碳纳米管(1~2 nm)对碘的饱和捕获量为1958 mg/g,显著优于其他孔径的碳纳米管,表明微孔对碘的捕获占据更多的优势,而介孔和大孔起辅助作用。通过BET测试,WS-Urea 相比于WS-KOH、WS-C 具有更多且更小的微孔,其比表面积也更大,因此,WS-Urea在碘捕获实验中表现得更加出色。

放射性碘蒸汽通常在高温和高湿的管道中排出,参考WU 等[52]的研究,在封闭的大称量瓶中加入足量的水,探究在高温下形成的水蒸气是否会对多孔炭在碘捕获过程中的性能产生影响,结果见图11。

图11 水蒸气对气态碘捕获性能的影响
Fig. 11 Effect of water vapor on capture performance of gaseous iodine

由图11 可知,水蒸气对2 种多孔炭的碘捕获性能均产生了负面影响,WS-Urea 和WS-KOH 相较于无湿度的情况〔无湿度时,WS-Urea 和WS-KOH 对碘的6 h 捕获量分别为3161 和2143 mg/g(图6)〕,对碘的捕获量分别下降了17.49%和35.79%。表明,水蒸气对WS-Urea 的碘捕获能力影响较小。因此,尿素辅助制备的多孔炭具有更大的实际应用价值。

将负载碘的WS-Urea(WS-Urea@I)暴露在室温和环境压力中,每隔24 h 进行称量,并记录WSUrea@I 的失重量,按式(10)计算WS-Urea@I 的保留率。探究捕获现象是发生在内部孔道还是表面凝结[53],结果见图12。从图12 可以看出,WS-Urea@I在7 d 后的保留率为85.41%,表现出良好的保留效果。这表明,碘捕获并非由于表面凝结,而是WS-Urea 与碘分子之间的相互作用所导致。

图12 WS-Urea@I 在室温和环境压力下的保留性能
Fig. 12 Retention performance of WS-Urea@I at room temperature and ambient pressure

式中:R 为WS-Urea@I 的保留率,%;mq 为WSUrea@I 的初始质量,g;mn 为WS-Urea@I 在第n d的质量,g;m0 为WS-Urea 的初始质量,g。

2.6 多孔炭对气态碘的捕获机理分析

为分析多孔炭的捕获机理,对吸附1 次前后的WS-Urea 分别进行TG、XRD、拉曼光谱和XPS 表征分析,结果见图13。

图13 WS-Urea 捕获碘前后的TG 曲线(a)、XRD 谱图(b)和XPS 全谱(c);WS-Urea 捕获碘后I 3d 高分辨XPS 谱图(d)和拉曼光谱(e);WS-Urea 捕获碘前后的O 1s 高分辨XPS 谱图(f)
Fig. 13 TG curves (a), XRD patterns (b), XPS survey spectra of WS-Urea before and after iodine capture (c);High-resolution I 3d XPS spectra (d) and Raman spectra (e) of WS-Urea after iodine capture;High-resolution O 1s XPS spectra (f) of WS-Urea before and after iodine capture

由WS-Urea 捕获碘前后的TG 曲线(图13a)可以看出,WS-Urea 在800 ℃时失重率约15%。由于通过管式炉的高温煅烧处理,使得WS-Urea 表现出优异的热稳定性,这在核电站废气与烟道气等高温环境下对于碘的捕获是至关重要的。此外,WS-Urea@I 在50~200 ℃之间失重率为69.11%,是多孔炭中物理吸附的碘升华所引起的[54],因此可以推断出其对碘的吸附主要是物理吸附。由WS-Urea 捕获碘前后的XRD 谱图(图13b)可以看出,由于碘在表面的吸附作用,导致XRD 谱图峰强度的降低[55],这说明碘已经成功地被多孔炭捕获。为进一步研究多孔炭对碘的相互作用机制,对WS-Urea@I 进行XPS测试(图13c),可以明显看出,吸附后的多孔炭显示出了碘元素的特征峰,更加证实了碘已经被多孔炭捕获。WS-Urea 捕获碘后I 3d 的高分辨谱图(图13d)可以看出,I2分别在结合能 620.73、632.13 eV 和618.83、630.48 eV 处显示出2 个特征峰[50,55]。表明碘在多孔炭材料中主要以碘分子的形态存在,其次以聚碘阴离子的形态存在,这与TG分析结果相吻合,说明对碘的捕获主要是以物理吸附为主。WS-Urea 捕获碘后的拉曼光谱(图13e)也进一步证明这一点,在170 cm-1 处峰归因于孔道内部的碘分子,在100 cm-1 处峰表明有的存在,而170 cm-1 处峰的峰面积远高于100 cm-1 处,表明在碘分子之间的相互作用下,导致孔隙中间形成封闭的碘固体结构[55]。因此,多孔炭较高的比表面积和微孔在提高气态碘的捕获中具有重要地位。从捕获碘前后O 1s 的高分辨谱图(图13f)可以看出,由于碘的作用,3 个峰发生了不同程度的偏移,这可能是羰基、羟基等在吸附碘中产生的作用,导致其部分被捕获的碘发生了电荷转移,以聚阴离子的形式存在。其中,—OH 峰从523.93 eV 偏移到532.72 eV,说明占据大多数含氧官能团的—OH 与碘相互作用导致了电子密度的增加,从而对于碘的吸附起到了决定性作用。根据路易斯酸碱理论,碘分子作为路易斯酸,带孤对电子的—OH 作为路易斯碱,碘分子与—OH 之间存在强烈的相互作用[56]

综上所述,多孔炭对气态碘捕获机制(图14)可表示为:以多孔结构特别是微孔为主的多孔炭对碘的吸附起主要作用,以羟基为主的吸附位点也可对碘产生少量的化学吸附。

图14 WS-Urea 捕获碘的机理示意图
Fig. 14 Schematic illustration of mechanisms of iodine capture by WS-Urea

2.7 多孔炭对气态碘捕获的重复利用性能分析

目前,针对负载碘的捕获剂,其重复利用性的研究通常采用加热法或借助有机溶剂(如乙醇、正己烷)进行。本研究采用加热法对碘的循环性能进行考察,结果见图15。

图15 多孔炭对气态碘的脱附(a)和循环性能(b)
Fig. 15 Desorption (a) and cycling performance (b) of porous carbon for gaseous iodine

图15a 为多孔炭对气态碘的第1 次脱附情况,由图15a 可以看出,WS-Urea 在300 min 时基本达到脱附平衡,脱附率高达98.98%,其出众的脱附率能实现对碘的迅速回收。由图15b 可知,经过5 个周期后,WS-Urea 与WS-KOH 对碘的吸附率分别下降了8.13%和8.63%,对于碘的捕获仍然保持在较高的水平,但WS-C 下降了48.75%。表明通过KOH和尿素的作用下使得多孔炭具有更高的重复利用性能,因此具有更广阔的应用前景。

2.8 多孔炭对环己烷碘溶液吸附性能分析

放射性碘除了存在于大气中,还会存在水体中。环己烷可以稳定溶液中的碘酸盐,因此,使用含有碘的环己烷溶液进行液态研究,可保证实验的准确性,结果见图16。

图16 不同多孔炭在环己烷中对碘的捕获
Fig. 16 Capture of iodine by different porous carbons in cyclohexane

由图16 可知,当碘质量浓度为100 mg/L 时,3种多孔炭在10 min 内基本达到饱和状态。WS-Urea在90 min 时去除率达到86.62%,而WS-KOH 和WS-C 去除率分别为80.93%和39.96%。表明在环己烷的碘溶液中,通过尿素辅助制备的多孔炭更具有优势。

2.8.1 多孔炭在环己烷碘溶液的吸附动力学

用准一级和准二级动力学模型拟合多孔炭在环己烷碘溶液中的吸附过程,结果见图17。相关参数列于表5。

表5 准一级和准二级动力学模型的非线性拟合参数
Table 5 Nonlinear fitting parameters for pseudo-first-order and pseudo-second-order kinetic models

动力学模型 参数 数值准一级动力学模型 R2 0.9996 qe/(mg/g) 214.73 k1/min-1 0.6422准二级动力学模型 R2 0.7588 k2/[g/(mg·min)] 2.6022 qe/(mg/g) 197.71

图17 WS-Urea 的准一级和准二级动力学模型拟合线
Fig. 17 Pseudo-first-order and pseudo-second-order kinetic models fitting curves of WS-Urea

由图17 可以看出,多孔炭在前5 min 吸附能力迅速增加,随后增长趋势变得平缓,在10 min 时基本达到平衡,平衡吸附量为216.56 mg/g,该多孔炭的吸附时间快,凸显出在实际应用中的优越性能。研究表明,分子的吸附速率取决于其在溶液中的迁移率、吸附剂的孔结构以及溶液与颗粒相之间的流体动力学接触[57]。多孔炭大的比表面积和孔体积促使碘溶液可以快速地进入,从而可以快速地吸附碘分子。由图17 和表5 可以看出,WS-Urea 与准一级动力学模型吻合较好(R2=0.9996),实际平衡吸附量(216.56 mg/g)与拟合出的理论最大吸附量(214.73 mg/g)相符,表明它主要是物理吸附。

2.8.2 多孔炭在环己烷碘溶液的吸附等温线

采用Langmuir 和Freundlich 等温线模型[58]拟合吸附过程。Langmuir 等温模型表示吸附剂的表面均匀,每个吸附质互不干扰,为均匀单层平衡吸附[59]。Freundlich 模型是指在非均匀表面上的吸附过程,并不局限于单层吸附能力[60]。本文采用Langmuir 和Freundlich 等温线模型拟合多孔炭在环己烷碘溶液中的吸附过程,结果见图18。相关参数列于表6。

表6 等温线模型的非线性拟合参数
Table 6 Nonlinear fitting parameters for isotherm models

等温线模型 参数 数值Langmuir R2 0.9968 qmax/(mg/g) 605.83 KL/(L/mg) 0.0050 Freundlich R2 0.9856 KF/[(mg/g)(L/mg)1/n] 15.921 n 0.5402

图18 WS-Urea 的Langmuir 和Freundlich 等温线模型拟合线
Fig. 18 Fitting curves of Langmuir and Freundlich isotherm models for WS-Urea

由图18 和表6 可以看出,WS-Urea 与Langmuir模型拟合得更好(R2=0.9968),根据Langmuir 模型假说,表明该吸附过程是单层吸附为主。Langmuir吸附模型的基本特征可用平衡常数(RL)表示,按式(11)计算。

式中:KL 为Langmuir 模型常数,L/mg;ρ0 为初始溶液中碘的质量浓度,mg/L。RL 表示吸附类型,0<RL<1 说明有良好的吸附性能;RL=0 为不可逆吸附;RL=1 为可逆吸附且吸附等温线成线性关系;RL>1表示吸附性能差[61]。由表6 可知,KL=5.00×10-3,0<ρ0(mg/L)<500,按式(11)计算得出0<RL<1。说明,多孔炭有良好的吸附性能。

2.8.3 多孔炭在环己烷碘溶液的吸附热力学

通过范特霍夫方程拟合多孔炭在环己烷碘溶液的吸附热力学,结果见图19。相关参数列于表7。

表7 热力学参数拟合参数
Table 7 Fitted thermodynamic parameters

温度/K 拟合参数298 308 318 Kd 16.19 12.11 9.25 ΔGθ/(kJ/mol) -23.40 -23.44 -23.49 ΔHθ/(kJ/mol) -22.04 ΔSθ/[(J/(mol·K)] 4.56

图19 WS-Urea 的热力学模型拟合线
Fig. 19 Fitting curves of thermodynamic model for WS-Urea

由图19 和表7 可知,通过范特霍夫方程拟合得出R2=0.9999,拟合效果较好。ΔGθ 为负值,说明WSUrea 对碘的吸附是一个自发的过程。并且︱ΔGθ︱<40 kJ/mol,表明吸附过程主要是物理过程[62],这与动力学模型假说相符。ΔHθ 为负值,表明在较低温度下会促进吸附过程,并且吸附过程是放热的。另外,ΔSθ 为正值,表示在吸附过程中固液界面的随机性增加[63]

3 结论

(1)采用尿素辅助KOH 活化法制备了核桃壳基多孔炭(WS-Urea),其具有超高的比表面积和微孔体积,相比于用KOH 改性法制备的多孔炭,其对碘的捕获性能显著提升。在气态碘的捕获中,WSUrea 多孔炭6 h 捕获量为3161 mg/g,通过制备条件的优化,在 m(核桃壳)∶m(KOH)∶m(尿素)=1∶1.5∶3.0、活化温度为900 ℃的条件下制备的多孔炭,其对碘的捕获量达到最大值,为6248 mg/g。WS-Urea 处理环己烷碘溶液中的碘时,10 min 时的平衡吸附量为216.56 mg/g,吸附过程符合准一级动力学模型和Langmuir 等温模型,表明吸附过程为物理吸附,且以单层吸附为主,同时热力学也表明吸附过程是自发的。

(2)负载在多孔炭上的碘主要以碘分子的形式存在,少数为聚阴离子。气态碘的捕获主要通过物理吸附,其中微孔在捕获过程中起到主导作用,少量的化学吸附则主要由羟基等官能团导致。

(3)在高温、高湿条件下,WS-Urea 多孔炭对气态碘的捕获量仅下降了17.49%。负载在多孔炭上的碘在室温和环境压力下的 7 d 保留率达到85.41%。经过5 次循环使用,WS-Urea 对碘的捕获量仅下降了8.13%。其优异的耐高温、高湿性、保留率和重复利用性显示出广阔的应用前景。

(4)在高温下制备的多孔炭官能团含量较少,因此,在保留孔结构的同时引入合适的官能团,以提高碘捕获能力,将是后续研究的重要方向。

参考文献:

[1] JIN K, LEE B, PARK J. Metal-organic frameworks as a versatile platform for radionuclide management[J]. Coordination Chemistry Reviews, 2021, 427:213473.

[2] SARKODIE S A, STREZOV V. Effect of foreign direct investments,economic development and energy consumption on greenhouse gas emissions in developing countries[J]. Science of the Total Environment,2019, 646:862-871.

[3] LI B Y, DONG X L, WANG H, et al. Capture of organic iodides from nuclear waste by metal-organic framework-based molecular traps[J].Nature Communications, 2017, 8(1):485.

[4] FENG Y, YANG P F, LI Y S, et al. AgNPs-containing metal-organic frameworks for the effective adsorption and immobilization of radioactive iodine[J]. Journal of Chemical and Engineering Data,2020, 65(4):1986-1992.

[5] KÜPPER F C, FEITERS M C, OLOFSSON B, et al. Commemorating two centuries of iodine research:An interdisciplinary overview of current research[J]. Angewandte Chemie-International Edition, 2011,50(49):11598-11620.

[6] LAN Y S, TONG M M, YANG Q Y, et al. Computational screening of covalent organic frameworks for the capture of radioactive iodine and methyl iodide[J]. Crystengcomm, 2017, 19(33):4920-4926.

[7] NANDANWAR S U, COLDSNOW K, UTGIKAR V, et al. Capture of harmful radioactive contaminants from off-gas stream using porous solid sorbents for clean environment-A review[J]. Chemical Engineering Journal, 2016, 306:369-381.

[8] HUVE J, RYZHIKOV A, NOUALI H, et al. Porous sorbents for the capture of radioactive iodine compounds:A review[J]. RSC Advances, 2018, 8(51):29248-29273.

[9] CHIEN C C, HUANG Y P, WANG W C, et al. Efficiency of moso bamboo charcoal and activated carbon for adsorbing radioactive iodine[J]. CLEAN-Soil Air Water, 2011, 39(2):103-108.

[10] CHAPMAN K W, CHUPAS P J, NENOFF T M. Radioactive iodine capture in silver-containing mordenites through nanoscale silver iodide formation[J]. Journal of the American Chemical Society, 2010,132(26):8897.

[11] RILEY B J, KROLL J O, PETERSON J A, et al. Silver-loaded aluminosilicate aerogels as iodine sorbents[J]. ACS Applied Materials& Interfaces, 2017, 9(38):32907-32919.

[12] XIE Y, PAN T, LEI Q, et al. Efficient and simultaneous capture of iodine and methyl iodide achieved by a covalent organic framework[J]. Nature Communications, 2022, 13(1):2878

[13] LI B Y, DONG X L, WANG H, et al. Functionalized metal organic frameworks for effective capture of radioactive organic iodides[J].Faraday Discussions, 2017, 201:47-61.

[14] SU P J (苏品杰), WANG J (王净), CHU K (褚阔), et al. Preparation of conjugated porous organic polymers and its capture of iodine from nuclear waste[J]. China Environmental Science (中国环境科学),2023, 43(2):568-575.

[15] ASPROMONTE S G, MIZRAHI M D, SCHNEEBERGER F A, et al.Study of the nature and location of silver in ag-exchanged mordenite catalysts. Characterization by spectroscopic techniques[J]. Journal of Physical Chemistry C, 2013, 117(48):25433-25442.

[16] XIE Y, CHEN H Y, MEI B Y, et al. Construction of camphor leavesderived biochar@bismuth for the capture of gaseous iodine[J].Chemical Engineering Science, 2023, 281:119205.

[17] AHMED W, MEHMOOD S, QASWAR M, et al. Oxidized biochar obtained from rice straw as adsorbent to remove uranium (Ⅵ) from aqueous solutions[J]. Journal of Environmental Chemical Engineering,2021, 9(2):12.

[18] ALBATRNI H, QIBLAWEY H, AL-MARRI M J. Walnut shell based adsorbents:A review study on preparation, mechanism, and application[J]. Journal of Water Process Engineering, 2022, 45:102527.

[19] SUN H X, YANG B L, LI A. Biomass derived porous carbon for efficient capture of carbon dioxide, organic contaminants and volatile iodine with exceptionally high uptake[J]. Chemical Engineering Journal, 2019, 372:65-73.

[20] XIAO K X, LIU H, LI Y, et al. Excellent performance of porous carbon from urea-assisted hydrochar of orange peel for toluene and iodine adsorption[J]. Chemical Engineering Journal, 2020, 382(15):122997.

[21] CHEN G Y, ZHAO Q, WANG Z R, et al. Ultrahigh volatile iodine uptake by hollow microspheres formed from a heteropore covalent organic framework[J]. Chemical Communications, 2017, 53(53):7266-7269.

[22] JANETA M, BURY W, SZAFERT S. Porous silsesquioxane-imine frameworks as highly efficient adsorbents for cooperative iodine capture[J]. ACS Applied Materials & Interfaces, 2018, 10(23):19964-19973.

[23] ZHANG Q M, ZHAI T L, WANG Z, et al. Hyperporous carbon from triptycene-based hypercrosslinked polymer for iodine capture[J].Advanced Materials Interfaces, 2019, 6(9):6.

[24] CHEN G Y, ZHAO Q, WANG Z R, et al. Pitch-based porous polymer beads for highly efficient iodine capture[J]. Journal of Hazardous Materials, 2022, 434:128859.

[25] RILEY B J, VIENNA J D, STRACHAN D M, et al. Materials and processes for the effective capture and immobilization of radioiodine:A review[J]. Journal of Nuclear Materials, 2016, 470:307-326.

[26] WANG J J, LI M C, FENG Y X, et al. Efficient capture of radioactive iodine by Ag-attached silica gel and its kinetics[J].Nuclear Materials and Energy, 2022, 33:101270.

[27] WANG C, WANG Y, GE R, et al. A 3D covalent organic framework with exceptionally high iodine capture capability[J]. Chemistry-A European Journal, 2018, 24(3):585-589.

[28] MIENSAH E D, KOKULOKU JR L T, GU A, et al. Effects of activation parameters on zeolitic imidazolate framework JUC-160-derived, nitrogen-doped hierarchical nanoporous carbon and its volatile iodine capture properties[J]. Colloids and Surfaces A:Physicochemical and Engineering Aspects, 2022, 650:129478.

[29] ROMANOS J, BECKNER M, RASH T, et al. Nanospace engineering of KOH activated carbon[J]. Nanotechnology, 2012, 23(1):7.

[30] SEVILLA M, FERRERO G A, DIEZ N, et al. One-step synthesis of ultra-high surface area nanoporous carbons and their application for electrochemical energy storage[J]. Carbon, 2018, 131:193-200.

[31] CHEN W, YANG H P, CHEN Y Q, et al. Transformation of nitrogen and evolution of N-containing species during algae pyrolysis[J].Environmental Science & Technology, 2017, 51:6570-6579.

[32] MU P, BAI W, ZHANG Z, et al. Robust aerogels based on conjugated microporous polymer nanotubes with exceptional mechanical strength for efficient solar steam generation[J]. Journal of Materials Chemistry A, 2018, 6(37):18183-18190.

[33] HUANG W H, WU R M, CHANG O S, et al. Manganese ferrite modified agricultural waste-derived biochars for copper ions adsorption[J]. Bioresource Technology, 2023, 367:128303.

[34] ZHU X D, YANG S J, WANG L, et al. Tracking the conversion of nitrogen during pyrolysis of antibiotic mycelial fermentation residues using XPS and TG-FTIR-MS technology[J]. Environmental Pollution,2016, 211:20-27.

[35] SUN H X, LA P Q, ZHU Z Q, et al. Capture and reversible storage of volatile iodine by porous carbon with high capacity[J]. Journal of Materials Science, 2015, 50(22):7326-7332.

[36] WU Y, GUO Y, SU R K, et al. Hierarchical porous carbon with an ultrahigh surface area for high-efficient iodine capture:Insights into adsorption mechanisms through experiments, simulations and modeling[J]. Separation and Purification Technology, 2022, 303:122237.

[37] CHOI M, RYOO R. Mesoporous carbons with KOH activated framework and their hydrogen adsorption[J]. Journal of Materials Chemistry, 2007, 17(39):4204-4209.

[38] ZHU Y, MURALI S, STOLLER M D, et al. Carbon-based supercapacitors produced by activation of graphene[J]. Science, 2011,332(6037):1537-1541.

[39] LI L, CHEN R, LI Y R, et al. Novel cotton fiber-covalent organic framework hybrid monolith for reversible capture of iodine[J].Cellulose, 2020, 27(10):5879-5892.

[40] YANG X M, XIE D, WANG W H, et al. An activated carbon from walnut shell for dynamic capture of high concentration gaseous iodine[J]. Chemical Engineering Journal, 2023, 454(4):140365.

[41] SUN H X, LA P Q, YANG R X, et al. Innovative nanoporous carbons with ultrahigh uptakes for capture and reversible storage of CO2 and volatile iodine[J]. Journal of Hazardous Materials, 2017, 321:210-217.

[42] LIU S, ZENG Y Y, ZHANG A, et al. Efficient capture of radioactive iodine by ZIF-8 derived porous carbon[J]. Journal of Environmental Radioactivity, 2022, 249:106895.

[43] WANG Z, HE Y, ZHU L, et al. Natural porous wood decorated with ZIF-8 for high efficient iodine capture[J]. Materials Chemistry and Physics, 2021, 258:8.

[44] YAN Z J, YUAN Y, TIAN Y Y, Ret al. Addendum:Highly efficient enrichment of volatile iodine by charged porous aromatic frameworks with three sorption sites[J]. Angewandte Chemie International Edition,2015, 54(48):14215.

[45] MA H, CHEN J J, TAN L, et al. Nitrogen-rich triptycene-based porous polymer for gas storage and iodine enrichment[J]. ACS Macro Letters, 2016, 5(9):1039-1043.

[46] CHEN D Y, FU Y, YU W G, et al. Versatile adamantane-based porous polymers with enhanced microporosity for efficient CO2 capture and iodine removal[J]. Chemical Engineering Journal, 2018, 334:900-906.

[47] YAO R X, CUI X, JIA X X, et al. A luminescent zinc(Ⅱ) metalorganic framework (MOF) with conjugated π-electron ligand for high iodine capture and nitro-explosive detection[J]. Inorganic Chemistry,2016, 55(18):9270-9275.

[48] LIAO Y Z, CHENG Z H, ZUO W W, et al. Nitrogen-rich conjugated microporous polymers:Facile synthesis, efficient gas storage, and heterogeneous catalysis[J]. ACS Applied Materials & Interfaces,2017, 9(44):38390-38400.

[49] ZHU Y L, JI Y J, WANG D G, et al. BODIPY-based conjugated porous polymers for highly efficient volatile iodine capture[J].Journal of Materials Chemistry A, 2017, 5(14):6622-6629.

[50] LI H, DING X S, HAN B H. Porous azo-bridged porphyrinphthalocyanine network with high iodine capture capability[J].Chemistry-A European Journal, 2016, 22(33):11863-11868.

[51] PINIJ P, TIPPAYAWONG N, CHIMUPALA Y, et al. Performances of functional groups and KOH-transformation in corn stover waste through catalytic pyrolysis[J]. Journal of Analytical and Applied Pyrolysis, 2021, 157:105234.

[52] WU L, SAWADA J A, KUZNICKI D B, et al. Iodine adsorption on silver-exchanged titania-derived adsorbents[J]. Journal of Radioanalytical and Nuclear Chemistry, 2014, 302(1):527-532.

[53] HE L W, CHEN L, DONG X L, et al. A nitrogen-rich covalent organic framework for simultaneous dynamic capture of iodine and methyl iodide[J]. Chem, 2021, 7(3):699-714.

[54] MA S L, ISLAM S M, SHIM Y, et al. Highly efficient iodine capture by layered double hydroxides intercalated with polysulfides[J].Chemistry of Materials, 2014, 26(24):7114-7123.

[55] CHEN P, HE X H, PANG M B, et al. Iodine capture using Zr-based metal-organic frameworks (Zr-MOFs):Adsorption performance and mechanism[J]. ACS Applied Materials & Interfaces, 2020, 12(18):20429-20439.

[56] WANG J, FAN D Q, JIANG C H, et al. Host-guest interactionmediated nanointerface engineering for radioiodine capture[J]. Nano Today, 2021, 36:101034.

[57] OKOLO B, PARK C, KEANE M A. Interaction of phenol and chlorophenols with activated carbon and synthetic zeolites in aqueous media[J]. Journal of Colloid and Interface Science, 2000,226(2):308-317.

[58] THUE P S, ADEBAYO M A, LIMA E C, et al. Preparation,characterization and application of microwave-assisted activated carbons from wood chips for removal of phenol from aqueous solution[J]. Journal of Molecular Liquids, 2016, 223:1067-1080.

[59] LIMA E C, HOSSEINI-BANDEGHARAEI A, MORENO-PIRAJÁN J C, et al. A critical review of the estimation of the thermodynamic parameters on adsorption equilibria. Wrong use of equilibrium constant in the Van't Hoof equation for calculation of thermodynamic parameters of adsorption[J]. Journal of Molecular Liquids, 2019,273:425-434.

[60] FOO K Y, HAMEED B H. Insights into the modeling of adsorption isotherm systems[J]. Chemical Engineering Journal, 2010, 156(1):2-10.

[61] GUPTA V K, JAIN R, MALATHI S, et al. Adsorption-desorption studies of indigocarmine from industrial effluents by using deoiled mustard and its comparison with charcoal[J]. Journal of Colloid and Interface Science, 2010, 348(2):628-633.

[62] TRAN H N, YOU S J, CHAO H P. Thermodynamic parameters of cadmium adsorption onto orange peel calculated from various methods:A comparison study[J]. Journal of Environmental Chemical Engineering, 2016, 4(3):2671-2682.

[63] NIU G (牛戈), WANG L C (王磊超), HUA M Q (华明清), et al.Adsorption of tetracycline in wastewater by copper-based nitrogencarbon microspheres[J]. Fine Chemicals (精细化工), 2024, 41(10):2310-2320.

Preparation of urea-modified walnut shell porous carbon and its removal of iodine

PAN Hanfeng1, DUAN Runbin1, LI Xingfa1,2*, MA Xuli1,2
(1. College of Environment and Ecology, Taiyuan University of Technology, Jinzhong 030600, Shanxi, China; 2. Shanxi-Zheda Institute of Advanced Materials and Chemical Engineering, Taiyuan 030000, Shanxi, China

Abstract:A high-performance porous carbon material (WS-Urea) for iodine capture was prepared using agricultural waste walnut shells as carbon matrix through urea-assisted potassium hydroxide activation, and characterized by SEM,N2 adsorption-desorption, XPS and XRD, followed by evaluation on its ability of gaseous iodine capture, with the porous carbon loaded with gaseous iodine further characterized. The iodine capture mechnism was analyzed. The adsorption kinetics and adsorption isotherm characteristics of WS-Urea for the capture of iodine in cyclohexane were analyzed. The results showed that the porous carbon exhibited an ultra-high specific surface area (3395.97 cm2/g) and micropore volume (1.39 cm3/g), and achieved an iodine capture capacity of 3161 mg/g within 6 h. Under the conditions of m(walnut shell)∶m(KOH)∶m(urea)=1∶1.5∶3.0 and activation temperature 900 ℃, the maximum iodine capture capacity reached 6248 mg/g. The microstructure predominantly facilitated physical adsorption of iodine, while chemical adsorption, mainly by hydroxyl groups, played a secondary role, which led to the charge transfer of some trapped iodine in the form of polyanions. The removal rate of porous carbon with a mass concentration of 0.4 g/L to cyclohexane-iodine solution with an iodine mass concentration of 100 mg/L at 90 min reached 86.62%. The kinetic and isothermal analyses suggested that the physical monolayer adsorption was the predominant mechanism, while the thermodynamic analysis indicated that the adsorption process was exothermic and proceeded spontaneously.

Key words:urea; porous carbon; iodine capture; micropores; hydroxyl groups; functional materials

中图分类号:X712;TQ424

文献标识码:A

文章编号:1003-5214 (2025) 11-2436-13

收稿日期:2024-11-18; 定用日期:2025-01-02;

DOI:10.13550/j.jxhg.20240867

基金项目:山西省科技合作专项项目(202204041101046);山西浙大新材料与化工研究院科研项目(2022SX-TD013)

作者简介:

潘寒风(1996—),男,硕士生,E-mail:phf759110898@163.com。

联系人:李兴发(1985—),男,讲师,E-mail:lxf200403132@163.com。

X